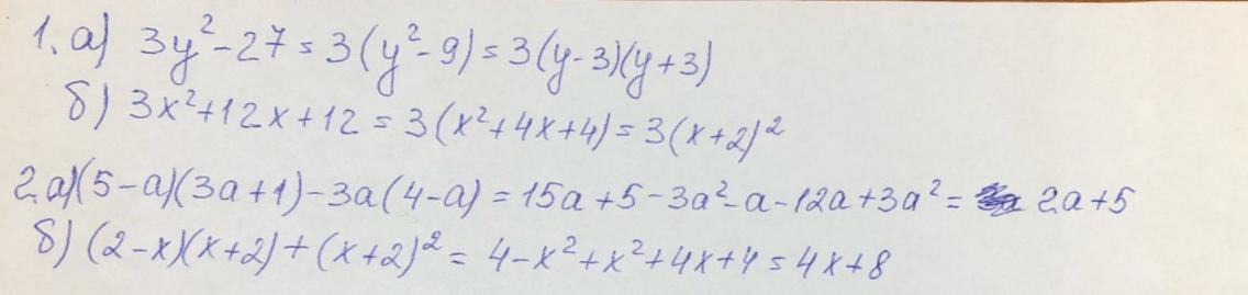
1.Разложите на множители: а) 3y²-27
б) 3x²+12x+12
2.упростите выражение
а) (5-a)(3a+1)-3a(4-a)
б) (2-x)(x+2)+(x+2)²
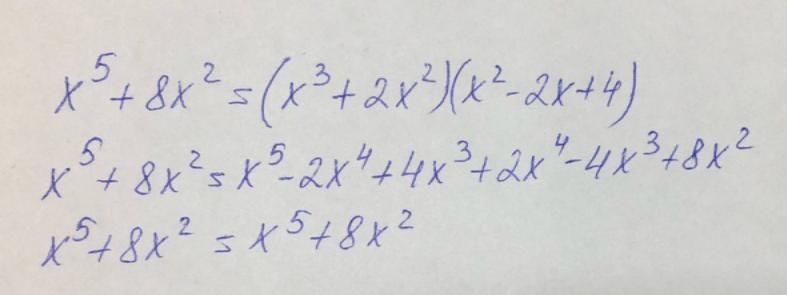
3.докажите тождество
x5+8x²=(x3+2x)(x²-2x+4)
Ответы
Ответ дал:
0
Ответ:
Первые два номера на первом фото.
Если в третьем номере опечатка, то его решение на втором фото.
Приложения:


Вас заинтересует
3 года назад
3 года назад
8 лет назад