• Предмет: Алгебра
  • Автор: fish812
  • Вопрос задан 8 лет назад

быстрее пожалуйста
тут просто сократить

Приложения:

Ответы

Ответ дал: Regent1828
0

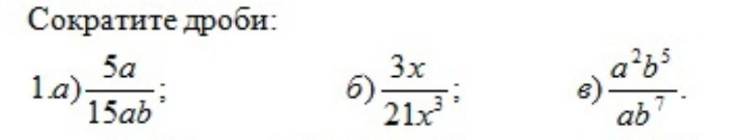
displaystyle tt a).  frac{5a}{15ab}=frac{5a}{5acdot3b}=frac{1}{3b};\\\b).  frac{3x}{21x^{3}}=frac{3x}{3xcdot7x^{2}}=frac{1}{7x^{2}};\\\c).  frac{a^{2}b^{5}}{ab^{7}}=frac{ab^{5}cdot a}{ab^{5}cdot b^{2}}=frac{a}{b^{2}};

Вас заинтересует