• Предмет: Математика
  • Автор: sashabun1805
  • Вопрос задан 8 лет назад

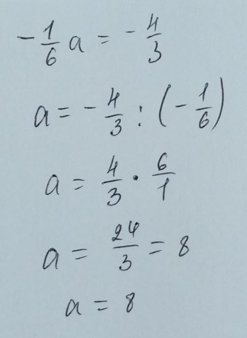
Помогите пж - 1/6а= - 4/3

Ответы

Ответ дал: gggarbakov
0

Ответ:

Смотри решение на фото

Приложения:
Вас заинтересует