• Предмет: Математика
  • Автор: madinakulbatyrova
  • Вопрос задан 8 лет назад

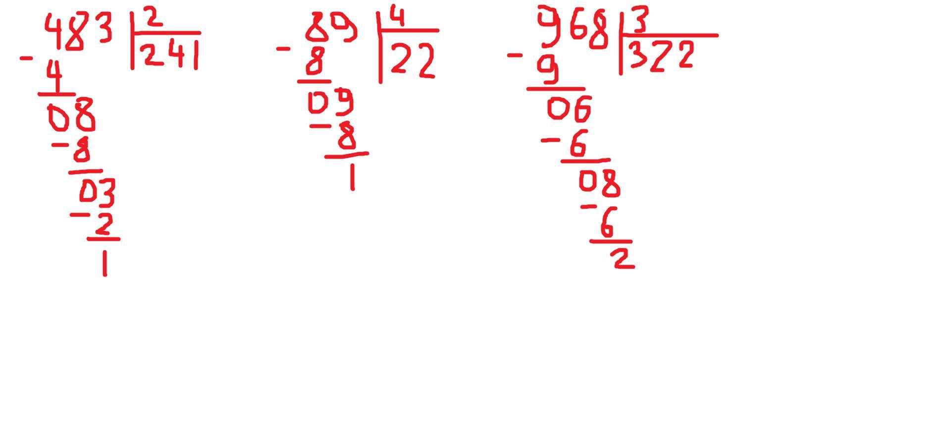
483:2 89:4 968:3 помогите пожалуйста

Ответы

Ответ дал: karolina8819
0

Пошаговое объяснение:

1) 483:2= 241,5

2) 89:4= 22,25

3) 968:3= 322,6

Ответ дал: Аноним
0

Ответ:

483:2=241(ост1)

89:4=22(ост1)

968:3=322(ост2)

Пошаговое объяснение: на фото.. ↓↓ удачи!

Приложения:
Вас заинтересует