• Предмет: Алгебра
  • Автор: 123yana12367
  • Вопрос задан 8 лет назад

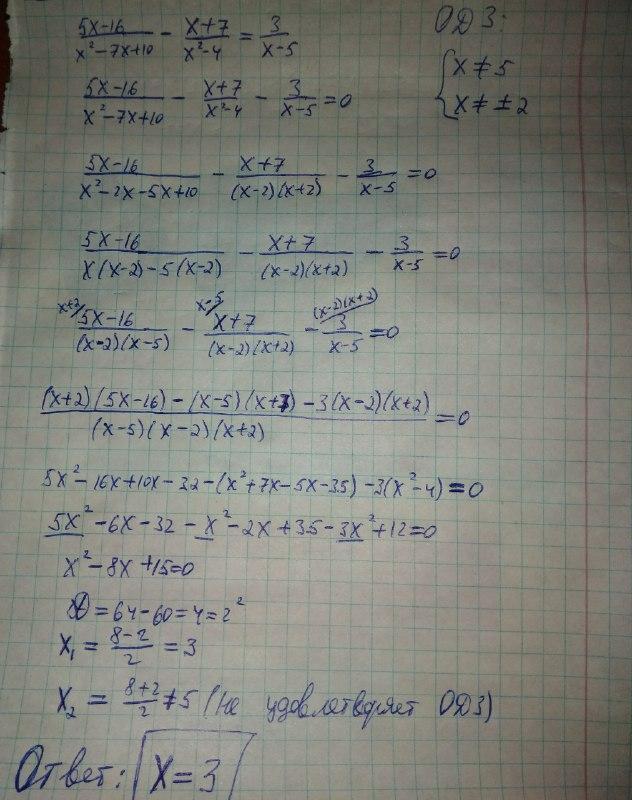
Помоги пожалуйста решить рациональное уравнение
Ответ x=3

Приложения:

Ответы

Ответ дал: sunnatxoja77
0

ОТВЕТ СМОТРИ НА ФОТО:

Приложения:
Ответ дал: sunnatxoja77
0
пожалуйста)
Вас заинтересует