• Предмет: Алгебра
  • Автор: moiseenkovanton
  • Вопрос задан 8 лет назад

помогите решить!!!!(((​

Приложения:

Ответы

Ответ дал: sharofat0
0

Ответ:

Освободитесь от иррациональности в знам.

Приложения:
Ответ дал: sharofat0
0
Огромное спасибо за помощь.
Ответ дал: Аноним
0
видите, автору вопроса совсем нет дела до того, что кто..то там ошибся.
Ответ дал: Аноним
0

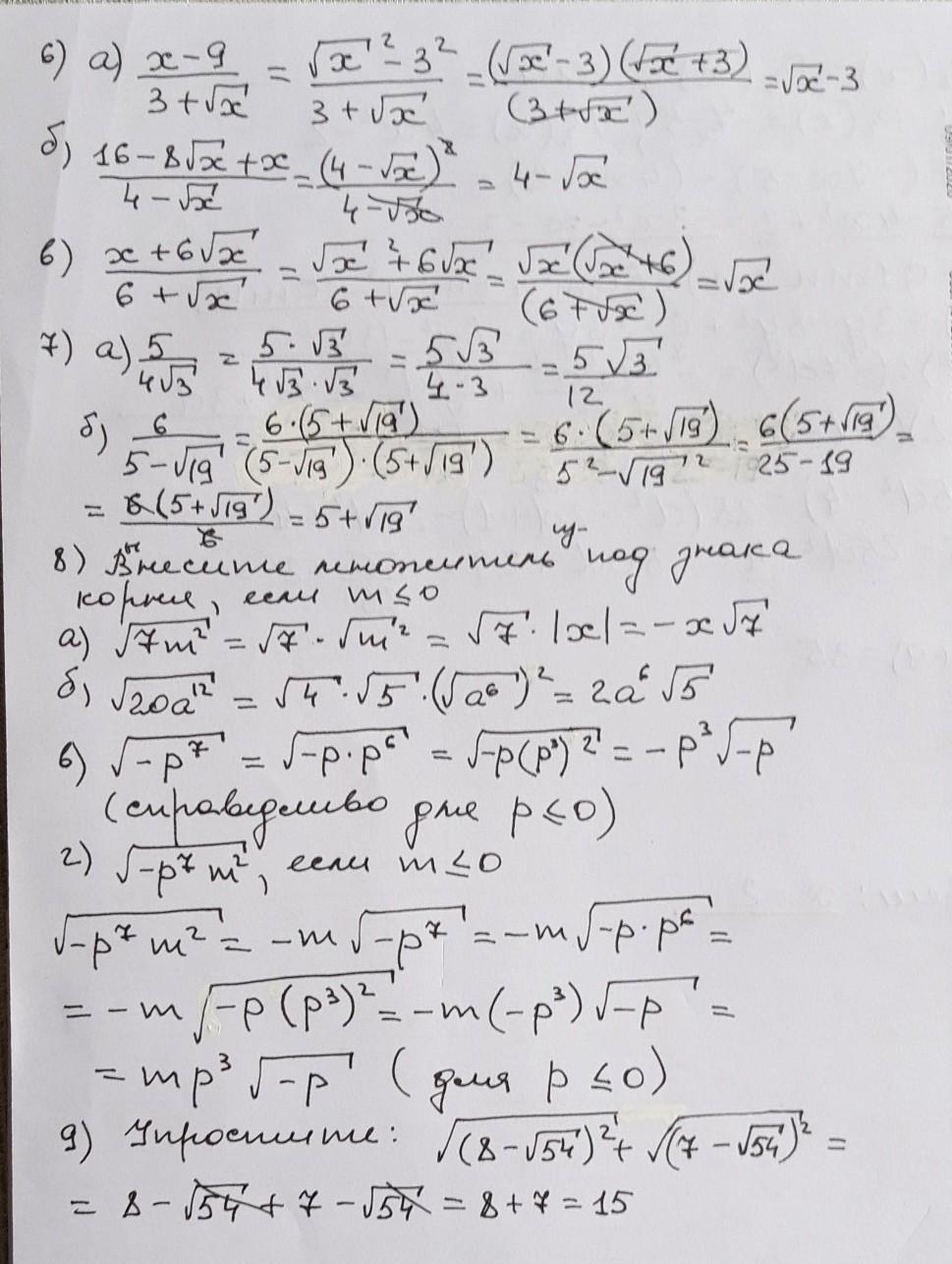
Ответ: во вложении Объяснение:

Приложения:
Вас заинтересует