Ответы
Ответ дал:
0
Ответ:
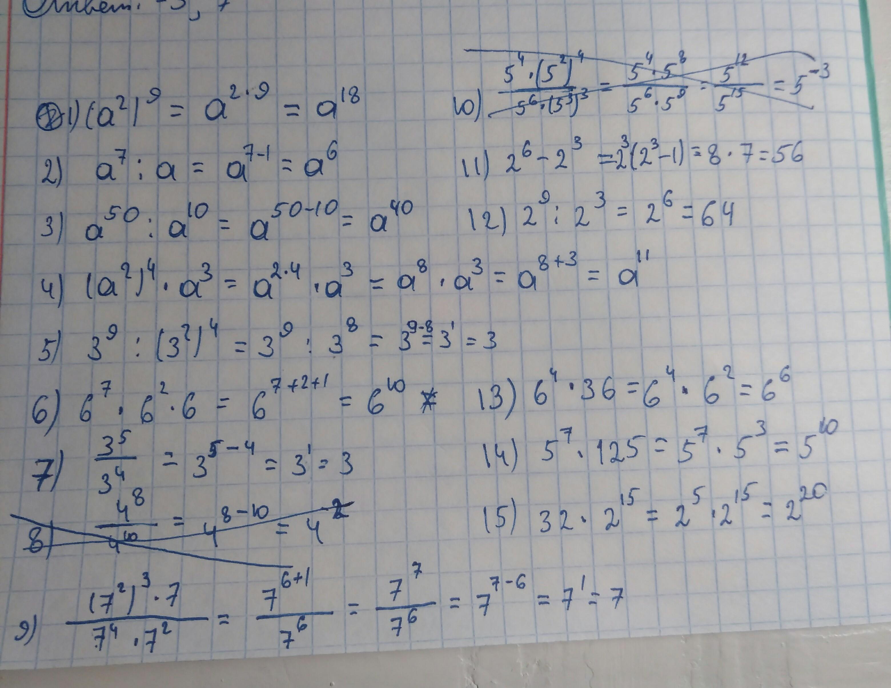
8. 4^8/4^10 = 1/4^10-8 = 1/4^2 = 1/16
10. 5^4*5^8/5^6*5^9 = 1/5^15-12 = 1/5^3 = 1/125
Объяснение:
Приложения:

Ответ дал:
0
❤❤
Вас заинтересует
2 года назад
2 года назад
3 года назад
3 года назад
8 лет назад
8 лет назад
9 лет назад