• Предмет: Математика
  • Автор: nindza0
  • Вопрос задан 8 лет назад

Помогите пожалуйста ради Матиматички

Приложения:

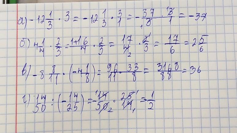
Ответы

Ответ дал: lera0452
0
1) =-37
2) 17/6
3) 48/11
4) -1/2
Ответ дал: smirnyivl
0

Решение на листке.....

Во втором 2 целых 5/6

Приложения:
Вас заинтересует