Ответы
Ответ дал:
0
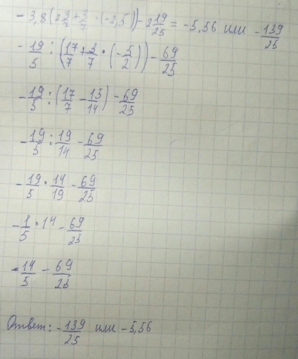
на фото все решение, там ответ можешь записать как тебе удобнее или обыкновенной дробью или десятичной...
Приложения:

Ответ дал:
0
Спасибо большое!
Вас заинтересует
2 года назад
3 года назад
8 лет назад
9 лет назад