Ответы
Ответ дал:
0
Ответ:
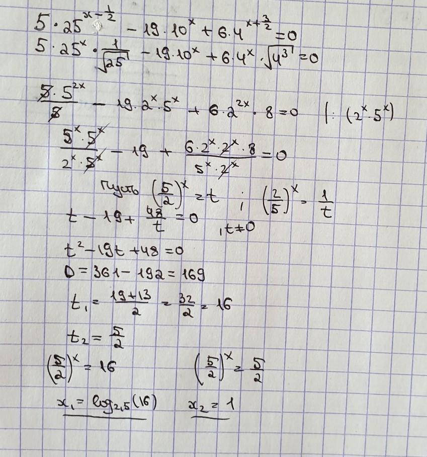
решение на фотографии
Приложения:

Ответ дал:
0
https://znanija.com/task/34361865
* * * * * * * * * * * * * * * * * * * *
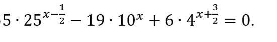
Решить уравнение: 5* (25^(x -1/2) ) -19*(10^x ) +6*(4^(x+3/2)) =0
Ответ: Log₅/₂ 3 ; Log₅/2 16 .
Пошаговое объяснение:
5*5²ˣ⁻¹ - 19*5ˣ*2ˣ +6*2²ˣ⁺³ =0
(5ˣ)² - 19*2ˣ*5ˣ + 48*2²ˣ = 0
можно рассм. как квадратное уравнение относительно 5ˣ
D =(19*2ˣ)² -4*48*2²ˣ =169*2²ˣ =(13*2ˣ )²
5ˣ = (19*2ˣ ± 13*2ˣ) / 2 ⇔5ˣ = (19 ± 13)*2ˣ / 2 ⇒
a) 5ˣ =3*2ˣ ⇔ (5/2)ˣ =3 ⇔ x =Log₅/₂ 3
или
b) 5ˣ =16*2ˣ ⇔ (5/2)ˣ =16 ⇔ x = Log₅/2 16 .
Приложения:

Вас заинтересует
2 года назад
2 года назад
3 года назад
3 года назад
8 лет назад
8 лет назад