• Предмет: Алгебра
  • Автор: gesaferdimeli
  • Вопрос задан 8 лет назад

8 номер решить выражение

Приложения:

Ответы

Ответ дал: BpexLoader
0

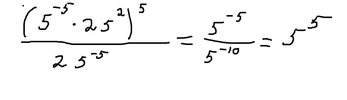
Решение на фото......................

Приложения:
Вас заинтересует