• Предмет: Алгебра
  • Автор: Nna24
  • Вопрос задан 8 лет назад

пожалуйста, решите как можно быстрее

Приложения:

Ответы

Ответ дал: tureen
0

Объяснение:

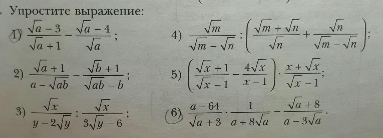
1. frac{ sqrt{a} - 3 }{ sqrt{a }  + 1}  -  frac{ sqrt{a}  - 4}{ sqrt{a} }  =  \  =  frac{ sqrt{a}( sqrt{a}  - 3 ) - ( sqrt{a} - 4)( sqrt{a}  + 1) }{ (sqrt{a}  + 1) sqrt{a} }  =  \  =  frac{a - 3 sqrt{a}  - a + 4 sqrt{a}  -  sqrt{a} + 4 }{ sqrt{a}( sqrt{a}   + 1)}  =  \  =  frac{4}{a +  sqrt{a} }  \  \  \ 2. frac{ sqrt{a} + 1 }{a -  sqrt{ab}  }  -  frac{ sqrt{b} + 1 }{ sqrt{ab} -  sqrt{b}  }  =  \  =  frac{( sqrt{a }  + 1)( sqrt{ab}  - b) - ( sqrt{b} + 1)(a -  sqrt{ab}  )}{(a -  sqrt{ab} )( sqrt{ab}  - b)}  =  \  =  frac{a sqrt{b}  - b sqrt{a} +  sqrt{ab} - b  - a sqrt{b}  + b sqrt{a}   - a +  sqrt{ab} }{(a -  sqrt{ab})( sqrt{ab}  - b) }  =  \  =   frac{2 sqrt{ab}  - b :  - a }{ a sqrt{ab} - ab - ab + b sqrt{ab}  }  =  \  =  frac{2 sqrt{ab}  - b - a}{ - 2ab  +  a sqrt{ab}  + b sqrt{ab}  }  = \  =  frac{2 sqrt{ab} - b - a }{ -  sqrt{ab}(2 sqrt{ab} - a - b)  }  =  \  =  -  frac{1}{ sqrt{ab} }  \  \  \ 3. frac{ sqrt{x} }{y - 2 sqrt{y} }  div  frac{ sqrt{x} }{3 sqrt{y}  - 6}  =  \  =  frac{ sqrt{x}(3 sqrt{x}  - 6) }{(y - 2 sqrt{y}) sqrt{x}  }  =  \  =  frac{3 sqrt{y}  - 6}{y - 2 sqrt{y} }  =  \  =  frac{3( sqrt{y}  - 2)}{ sqrt{y}( sqrt{y} - 2)  }  =  \  =  frac{3}{ sqrt{y} }  \  \  \ 4. frac{ sqrt{m} }{ sqrt{m} -  sqrt{n}  }  div ( frac{ sqrt{m}  +  sqrt{n} }{ sqrt{n} }  +  frac{ sqrt{n} }{ sqrt{m} -  sqrt{n}  } ) =  \  =  frac{ sqrt{m} }{ sqrt{m} -  sqrt{n}  }  div ( frac{( sqrt{m}  +  sqrt{n} )( sqrt{m} -  sqrt{n}  ) +  {( sqrt{n} )}^{2}  }{ sqrt{n}( sqrt{m}   -  sqrt{n} )}  =  \  =  frac{ sqrt{m} }{ sqrt{m}  -  sqrt{n} }  div  frac{m - n + n}{ sqrt{n}( sqrt{m}  -  sqrt{n})  }  =  \  =  frac{ sqrt{m} }{ sqrt{m}  -  sqrt{n} }  div  frac{ m }{ sqrt{n}( sqrt{m}   -  sqrt{n}) }  =  \  =  frac{ sqrt{m}  times  sqrt{n}( sqrt{m} -  sqrt{n} )  }{( sqrt{m} -  sqrt{n} ) times m }  =  \  =  frac{ sqrt{mn} }{m}  \  \  \ 5.( frac{ sqrt{x} + 1 }{ sqrt{x} - 1 }  -  frac{4 sqrt{x} }{x - 1} ) times  frac{x +  sqrt{x} }{ sqrt{x}  - 1}  =  \  = ( frac{ sqrt{x}  + 1}{ sqrt{x} - 1 }  -  frac{4 sqrt{x} }{( sqrt{x} + 1)( sqrt{x}   - 1)} ) frac{x +  sqrt{x} }{ sqrt{x}  - 1}  =  \  =  frac{ {( sqrt{x}  + 1)}^{2}  - 4 sqrt{x}  }{( sqrt{x} + 1)( sqrt{x} - 1)  }  times  frac{ sqrt{x} ( sqrt{x} + 1) }{ sqrt{x}  - 1}  =  \  =  frac{ {x}^{2}  - 2 sqrt{x} + 1 }{( sqrt{x} + 1)( sqrt{x}  - 1) }  times  frac{ sqrt{x}( sqrt{x}  + 1) }{ sqrt{x}  - 1}  =  \  =  frac{ {x}^{2}  - 2 sqrt{x} + 1 }{( sqrt{x}  + 1)( sqrt{x} - 1) }  times  frac{ sqrt{x} ( sqrt{x + 1} )}{ sqrt{x} - 1 }  =  \  =  frac{ {( sqrt{x} - 1) }^{2} times  sqrt{x}  times ( sqrt{x}  + 1) }{( sqrt{x}  + 1)( sqrt{x} - 1) times ( sqrt{x} - 1)  }  =  sqrt{x}  \  \  \ 6. frac{a - 64}{ sqrt{a} + 3 }  times  frac{1}{a + 8 sqrt{a} }  -  frac{ sqrt{a} + 8 }{a - 3 sqrt{a} }  =  \  =  frac{( sqrt{a} - 8)( sqrt{a} + 8)  }{( sqrt{a}  + 3) sqrt{a}( sqrt{a} + 8)  }  -  frac{ sqrt{a}  + 8}{ sqrt{a}( sqrt{a} - 3)  }  =  \  =  frac{ sqrt{a} - 8 }{ sqrt{a}( sqrt{a} + 3)  }  -  frac{ sqrt{a}  + 8}{ sqrt{a}( sqrt{a - 3)}  }  =  \  =  frac{( sqrt{a }  - 8)( sqrt{a} - 3) - ( sqrt{a}  + 8)( sqrt{a}  + 3) }{ sqrt{a}( sqrt{a}  - 3)( sqrt{a} + 3)  }  =  \  =  frac{a - 8 sqrt{a} - 3 sqrt{a}  + 24 - a - 8 sqrt{a} - 3 sqrt{a}  - 24  }{ sqrt{a}(a - 9) }  =  \  =  frac{ - 22 sqrt{a} }{ sqrt{a}(a - 9) }  =  \  =  -  frac{22}{a - 9}

Вас заинтересует