• Предмет: Физика
  • Автор: 6sasha20123
  • Вопрос задан 8 лет назад

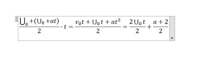
Мне малопонятно, как эту формулу отмеченная зеленым (путь при равноускоренном движении) изменили до другой (красная), почему нельзя было оставить все как есть??

Приложения:

Ответы

Ответ дал: nargizhasimova2003
0

Ответ:

эту формулу просто преоброзовали в другую раскрывая cкобки

Ответ дал: lihachevmp
0
почему только скобки а не весь числитель почленно?
Ответ дал: nargizhasimova2003
0
ну по правилам же так получается
Ответ дал: nargizhasimova2003
0
сперва надо раскрыть скобки
Ответ дал: lihachevmp
0
ну так раскрой и все v0+v0+at
Ответ дал: lihachevmp
0

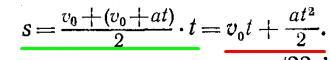
Ответ:

пояснение в рисунке

Объяснение:

Приложения:
Ответ дал: lihachevmp
0
вторая дробь не а+2 правильно а*t^2
Вас заинтересует