• Предмет: Математика
  • Автор: varvaravydro2
  • Вопрос задан 8 лет назад

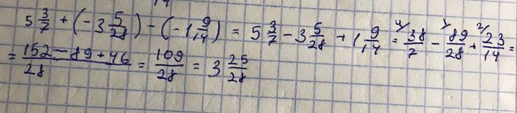
СРОЧНО НУЖНО РЕШИТЬ ВЫРАЖЕНИЕ​

Приложения:

Ответы

Ответ дал: fadeevaevgenia60
0

Ответ:

109/28 потом выделили целую часть

Приложения:
Ответ дал: flowey008
0
Надеюсь видно. Заранее извиняюсь если есть ошибки
Приложения:
Вас заинтересует