• Предмет: Алгебра
  • Автор: Vadimmamaj5
  • Вопрос задан 8 лет назад

СРОЧНО ПОМОГИТЕ ПОЖАЛУЙСТА С ДОМАШКОЙ

Приложения:

Ответы

Ответ дал: fadeevaevgenia60
0

Ответ:

1.

1)= 0.8*20+1/7*7= 16+1=17

2)= 48/5= 9 3/5

3) = 432

4) =7

Ответ дал: daraprelj
0

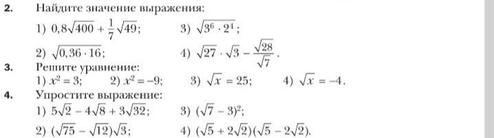
2.

а)0,8√400 + 1/7√49 = 0,8*20+1/7*7 = 16+1 = 17

б)√0,36*16 = √0,36 * √16 = 0,6*4 = 2,4

в)sqrt{3^{6} * {2^{4} } = {3^{3} * {2^{2} } = 27*4 = 108

г)sqrt{27} * sqrt{3}  - frac{sqrt{28} }{sqrt{7} }  = sqrt{27*3} - sqrt{frac{28}{7} } =sqrt{81} - sqrt{4} = 9-2 = 7

3.

а) x² = 3

x = ±√3

б) x² = -9

Нет решения, т.к. x² > 0

в)√x = 25

x = 25² = 625

г)√x = -4

Нет решения, т.к. √x > 0

4.

а)5√2 - 4√8 + 3√32 = 5√2 - 4√4*2 + 3√16*2 = 5√2 - 4*2√2 + 3*4√2 = 5√2 - 8√ + 12√2 = 9√2

б)(√75 - √12)*√3 = (√25*3 - √4*3)*√3 = (5√3-2√3)*√3 = 3√3*√3 = 3*3 = 9

в(√7-3)² = (√7)²-2*√7*3+3² = 7-6√7+9 = 16-6√7

г)(√5-2√2)(√5+2√2) = (√5)²- (2√2)² = 5 - 8 = -3

Вас заинтересует