Ответы
Ответ дал:
0
Ответ дал:
0
Спасибо, но как получилась первая строчка?
Ответ дал:
0
Посмотрите здесь https://znanija.com/task/34362368
Ответ дал:
0
Спасибо!
Ответ дал:
0
Пожалуйста
Ответ дал:
0
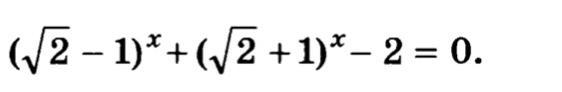
Ответ:
Объяснение:
...................................
Приложения:

Вас заинтересует
2 года назад
2 года назад
3 года назад
3 года назад
8 лет назад
8 лет назад
9 лет назад
9 лет назад