Ответы
Ответ дал:
0
Ответ:
На фото...
Пошаговое объяснение:
На фото
Как то так....
Приложения:

Ответ дал:
0
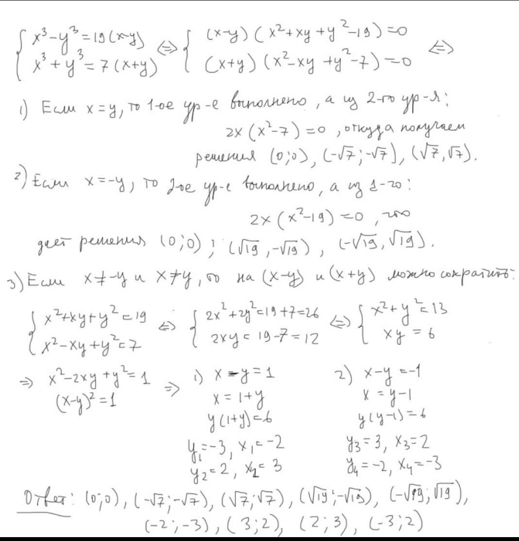
Ответ: Решения (9 решений)
(0,0), (2,3) , (-2,-3), (3,2), (-3,-2)
(sqrt(7),sqrt(7)) (-sqrt(7),-sqrt(7))
(sqrt(19),-sqrt(19)) (-sqrt(19),sqrt(19))
Пошаговое объяснение:
Сложим уравнения
Используем формулы.
(х-у)(x^2+xy+y^2)=19(x-y)
(х+у)(x^2-xy+y^2)=7(x+y)
Запомним решение х=0, у=0
Кроме того , если х=у
2х^3=14x x^2=7 x=sqrt(7) или x=-sqrt(7)
если х=-у -y^3=-19y y=sqrt(19) или y=-sqrt(19)
Иначе :
x^2+xy+y^2=19
x^2-xy+y^2=7
x^2+y^2=(19+7)/2=13
2xy=12
(x-y)^2=1 (x+y)^2=25
Возможны решения :
--------------------
x-y=1
x+y=5
x=3 y=2
-----------------
x-y=-1
x+y=-5
x=-3 y=-2
---------------------
x-y=-1
x+y=5
x=2 y=3
--------------------
x-y=1
x+y=-5
-----------------
x=-2
y=-3
Приложения:

Вас заинтересует
2 года назад
3 года назад
3 года назад
9 лет назад
9 лет назад