Ответы
Ответ дал:
0
Ответ:
Спочатку шукається область допустимих значень, а дальше просто переносимо і там дальше розв'язуємо.
Приложения:

Ответ дал:
0
Ответ:
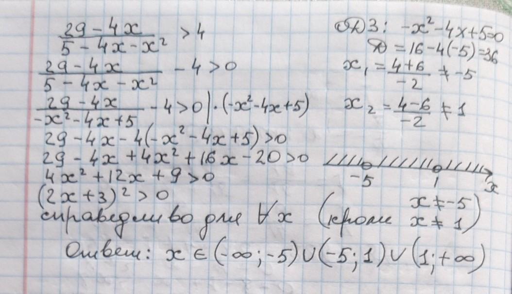
х принимает любые значения, кроме х= -5,
х=1.
Решить неравенство.
Приложения:

Вас заинтересует
2 года назад
3 года назад
3 года назад
8 лет назад
9 лет назад
9 лет назад