• Предмет: Алгебра
  • Автор: bgbhd
  • Вопрос задан 8 лет назад

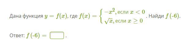
Срочно нужно!!!!! Пример на фотке

Приложения:

Ответы

Ответ дал: Maximason
0

Ответ:

-36

Объяснение:

f(-6) => x = -6

Смотрим, наша функция принимает значение -x^2 , если x<0

Получаем:

f(x) = -x^2\f(-6) = -(-6)^2\f(-6) = -36

Вас заинтересует