• Предмет: Алгебра
  • Автор: yana1458
  • Вопрос задан 8 лет назад

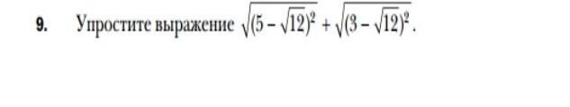
Решите плиз алгебра 8 класс

Приложения:

Ответы

Ответ дал: Rahmann
0

Смотри вложение.....

Приложения:
Вас заинтересует