• Предмет: Математика
  • Автор: nikitaans777
  • Вопрос задан 8 лет назад

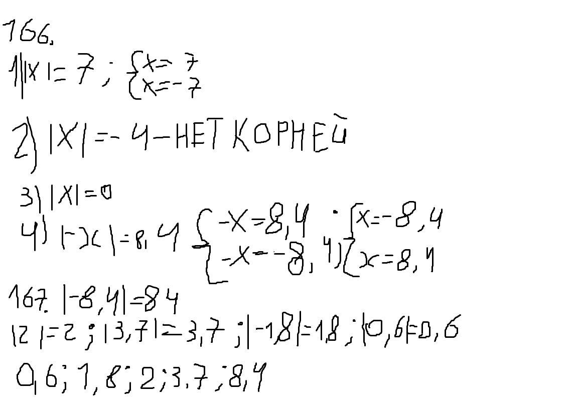
Помогите пожалуйста

Приложения:

Ответы

Ответ дал: quarckium
0

Ответ:

Честно не понимаю что хотят первые два) но последние два легкие.Но сорян за качество в пейнте не оч рисовать) И да я укр понимаю тут проблема в давности я уже школу закончил и это уже давно было)

Пошаговое объяснение:

Приложения:
Вас заинтересует