• Предмет: Математика
  • Автор: aleksandrtutikov604
  • Вопрос задан 8 лет назад

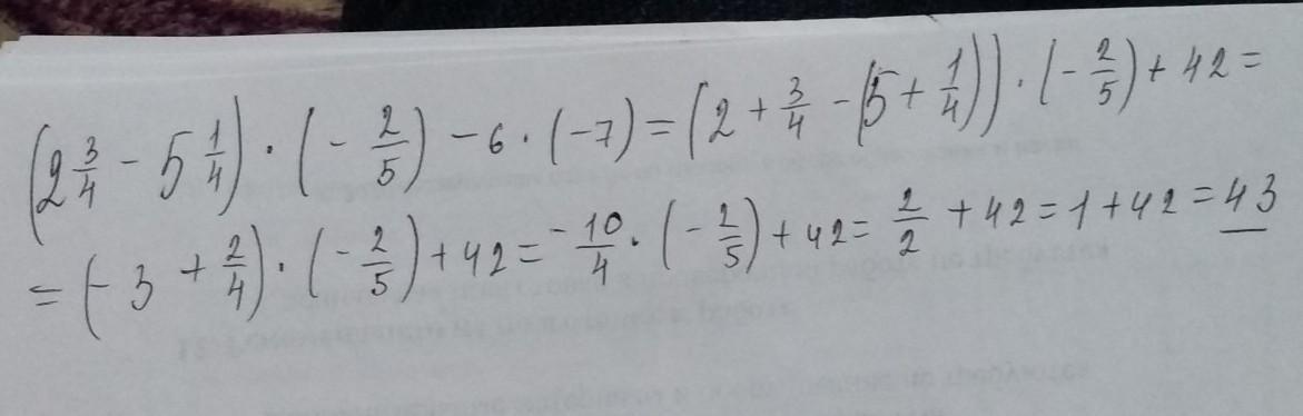
С решением 6клас даю 10 балл

Приложения:

Ответы

Ответ дал: gggarbakov
0

Ответ:

Смотри решение на фото

Приложения:
Вас заинтересует