• Предмет: Математика
  • Автор: plaboicarti2
  • Вопрос задан 8 лет назад

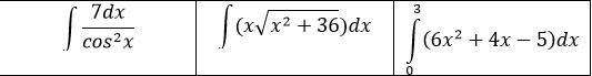
Найти интегралы
Распишите решение подробно пожалуйста!

Приложения:

Ответы

Ответ дал: natalyabryukhova
0

Ответ:

=========================

Пошаговое объяснение:

Приложения:
Вас заинтересует