Задание:
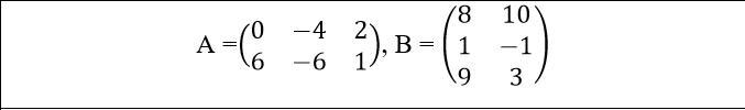
Найти произведение матриц АВ = С, если А, В даны:
Распишите подробнее решение.
Приложения:

Ответы
Ответ дал:
0
Ответ:
Ну тут не очень сложно.
Пошаговое объяснение:
Смотри есть две матрицы разных размеров.И вот как ты делаешь рядок матрицы А множишь на столбик матрицы В.
c11=3 · 8 + (-4) · 1 + 2 · 9 = 24 - 4 + 18 = 38
c12=3 · 10 + (-4) · (-1) + 2 · 3 = 30 + 4 + 6 = 40
c21=6 · 8 + (-6) · 1 + 1 · 9 = 48 - 6 + 9 = 51
c22=6 · 10 + (-6) · (-1) + 1 · 3 = 60 + 6 + 3 = 69
Матрица C равна C=(38 40)
(51 69)
Ты умножаешь a11 · b11 + a12 · b21 + a13 · b31
a11 · b12 + a12 · b22 + a13 · b32
a21 · b11 + a22 · b21 + a23 · b31
a21 · b12 + a22 · b22 + a23 · b32
И получаешь елементы новой матрицы.
Вас заинтересует
2 года назад
3 года назад
3 года назад
8 лет назад
8 лет назад
9 лет назад