• Предмет: Математика
  • Автор: mssss60
  • Вопрос задан 8 лет назад

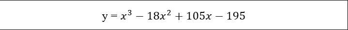
Исследовать свойства функции и построить её график
Распишите подробно пожалуйста решение!

Приложения:

Ответы

Ответ дал: natalyabryukhova
0

Ответ:

=================================

Пошаговое объяснение:

Приложения:
Вас заинтересует