Ответы
Ответ дал:
0
Ответ:
============================
Пошаговое объяснение:
Приложения:

Ответ дал:
0
Ответ:
Пошаговое объяснение:
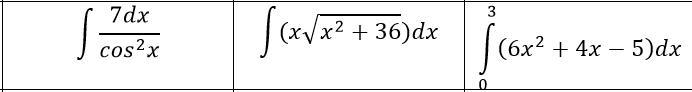
1) =7tgx
3) =(6x^3/3+4x^2/2-5x) от 0 до 3 =(2x^3+2x^2-5x) от 0 до 3 =2*27+2*9-5*3=
54+18-15=57
Приложения:

Вас заинтересует
2 года назад
2 года назад
3 года назад
3 года назад
8 лет назад
9 лет назад