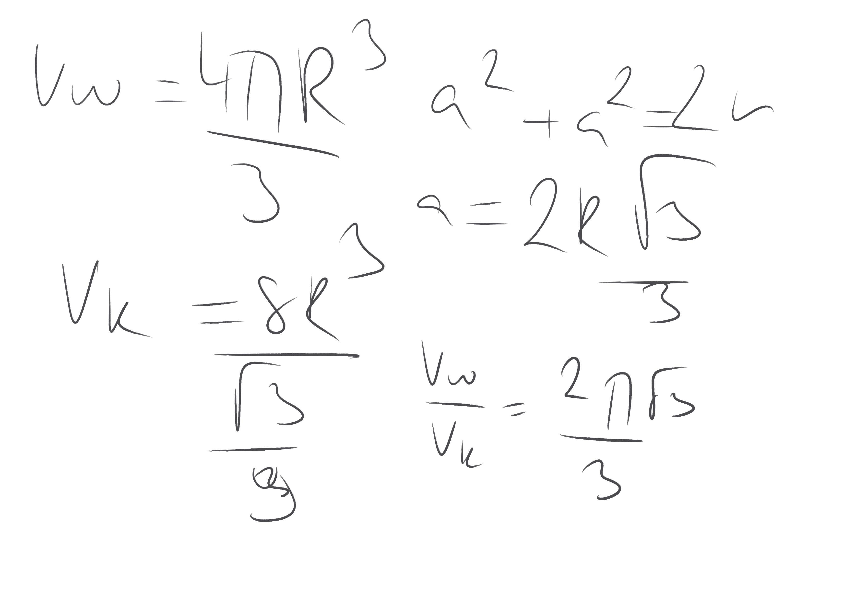
Из шара вырезали кубик наибольшего размера. Найдите отношение объёмов шара и куба. Помогите пожалуйста.
Приложения:

Ответы
Ответ дал:
0
Ответ:
E
Объяснение:
вложение
Приложения:

Вас заинтересует
2 года назад
2 года назад
3 года назад
3 года назад
8 лет назад
9 лет назад