• Предмет: Алгебра
  • Автор: ggroup921
  • Вопрос задан 8 лет назад

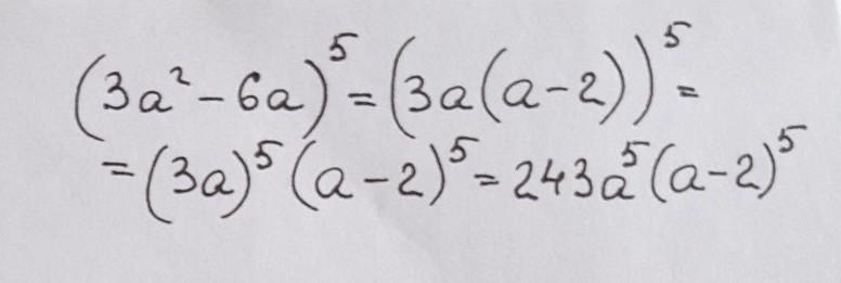
Срочно на помощь!ПЛИС.Вынесите общий множитель за скобки 3a²-6a в пятой степени

Ответы

Ответ дал: sharofat0
0

Ответ:

Вынесите за скобки общий множитель.

Приложения:
Вас заинтересует