• Предмет: Алгебра
  • Автор: ShrekBruh123
  • Вопрос задан 8 лет назад

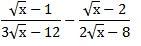
Упростите пример на изображении

Приложения:

Ответы

Ответ дал: sebrithien
0

displaystyle tt frac{sqrt{x}-1}{3sqrt{x}-12}-frac{sqrt{x}-2}{2sqrt{x}-8}=frac{sqrt{x}-1}{3(sqrt{x}-4)}-frac{sqrt{x}-2}{2(sqrt{x}-4)}=frac{2(sqrt{x}-1)-3(sqrt{x}-2)}{6(sqrt{x}-4)}=frac{2sqrt{x}-2-3sqrt{x}+6}{6(sqrt{x}-4)}=frac{-sqrt{x}+4}{6(sqrt{x}-4)}=frac{-(sqrt{x}-4)}{6(sqrt{x}-4)}=boxed{-frac{1}{6}}

Вас заинтересует