• Предмет: Алгебра
  • Автор: likamitryanu17
  • Вопрос задан 8 лет назад

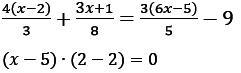
решите пожалуйста уравнения

Приложения:

Ответы

Ответ дал: sebrithien
0

displaystyle tt frac{4(x-2)}{3}+farc{3x+1}{8}=frac{3(6x-5)}{5}-9\displaystyle tt frac{4x-8}{3}+farc{3x+1}{8}=frac{18x-15}{5}-9 : : : : | cdot 120\displaystyle tt 40(4x-8)+15(3x+1)=24(18x-15)-1080\displaystyle tt 160x-320+45x+15=432x-360-1080\displaystyle tt 205x-305=432x-1440\displaystyle tt 205x=432x=-1440+305\displaystyle tt -227x=-1135\displaystyle tt x=frac{-1135}{-227}\displaystyle tt fbox{textbf{x=5}}

Ответ:displaystyle tt x=5

displaystyle tt (x-5)cdot(2-2)=0\displaystyle tt (x-5)cdot 0=0\displaystyle tt 0=0\displaystyle tt bold{x in R}

Ответ: уравнение имеет бесконечное множество решений

Вас заинтересует