• Предмет: Алгебра
  • Автор: 65biso2
  • Вопрос задан 8 лет назад

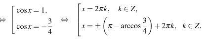
Не слишком ли переусложнена запись ответа в данном случае?

Само уравнение не привожу, интересует запись ответа. Конкретно второго. Обязательно так записывать, или аналогичным будет ±arccos(-3/4) + 2πk

Приложения:

Ответы

Ответ дал: Dedagenn
0

Ответ:

возьмем к=0,

в исходном х1=180°-41=139°, х2=-139°,

у тебя х1=139° х2=-139°.

вроде аналогичны. Твоя форма считается "обычной"

Вас заинтересует