• Предмет: Математика
  • Автор: ciuouif
  • Вопрос задан 8 лет назад

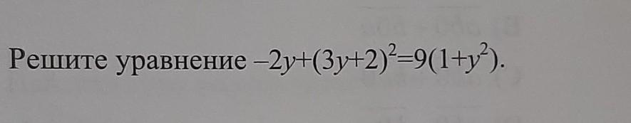
Пж помогите умоляю срочно​

Приложения:

Ответы

Ответ дал: anastasiafitc234
0

Ответ:

-2у+9у+2•3у•2+4=9+9у²

-2у+9у+12у-9у²=9-4

10у²=5

у²=5:10

у²=0,5

у=0,25

Ответ дал: anastasiafitc234
0
всё верно
Ответ дал: anastasiafitc234
0
если что обращайтесь
Ответ дал: ciuouif
0
ок
Вас заинтересует