Ответы
Ответ дал:
0
Ответ:
а)
б)
в)
г)
д)
е)
Пошаговое объяснение:
воспользуемся формулой:
- а)
- б)
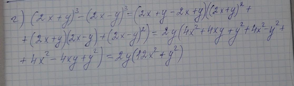
- в) на фото
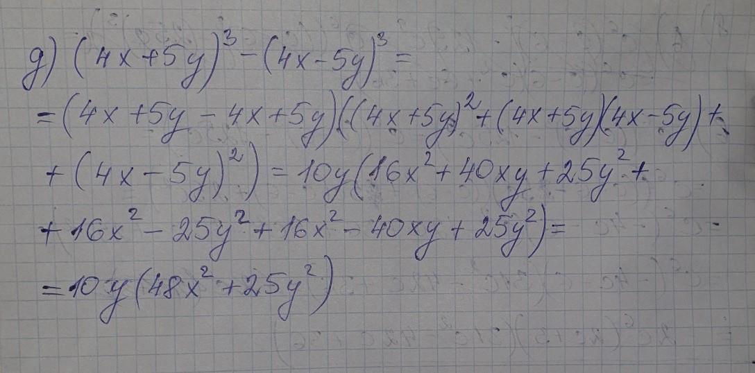
- г) на фото
- е) на фото
Приложения:




Вас заинтересует
2 года назад
2 года назад
3 года назад
3 года назад
8 лет назад
8 лет назад
9 лет назад