Помогите решить 24.4 (3й пример)
Если есть возможность - объясните подробнее. Благодарю.
Приложения:

Ответы
Ответ дал:
0
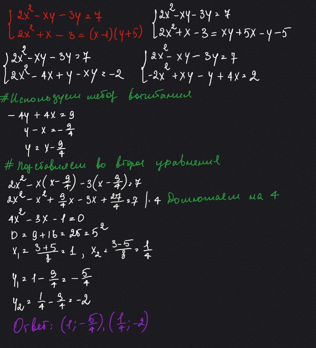
Решение на фото внизу
Приложения:

Ответ дал:
0
там где х2 = 1/4, должно быть -1/4
Ответ дал:
0
Угу
Вас заинтересует
2 года назад
2 года назад
3 года назад
3 года назад
8 лет назад
8 лет назад