Помогите пожалуйста, уже не знаю куда обращаться взамен могу пролайкать инст и подписатся(
Приложения:

Ответы
Ответ дал:
0
обратиться можно в органы опеки и попечительства или дои иатери и ребенка
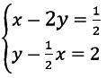
x - 2y = 1/2
y - 1/2*x = 2 |*2
----
x - 2y = 1/2
2y - x = 4
----
x - 2y = 1/2
x - 2y = -4
одно и тоже выражение равно разным значениям
решений нет
x ∈ ∅
Ответ дал:
0
переделаю систему, заменив обыкновенные дроби на десятичные (лично мне так удобнее работать)
выражаем в первом уравнении через
:
подставляем выраженный во второе уравнение:
выписываем второе уравнение и решаем его:
y ∈ ∅.
поскольку значения , подходящего нашей системе нет, то значит данная система не имеет решений вовсе.
Ответ: x∈∅, y∈∅
или (x,y)∈∅
Вас заинтересует
2 года назад
2 года назад
3 года назад
8 лет назад
8 лет назад
9 лет назад