• Предмет: Математика
  • Автор: vikalmao
  • Вопрос задан 8 лет назад

Решите пожалуйста 2 и 3 задание, даю 30 баллов

Приложения:

Ответы

Ответ дал: ChiStS
0

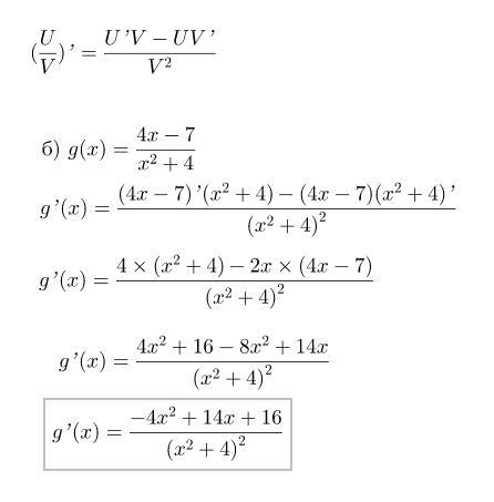
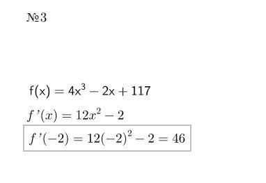
Смотри в приложении:

Приложения:
Вас заинтересует