Ответы
Ответ дал:
0
Ответ: x₁=1,5 x₂=7/3.
Пошаговое объяснение:
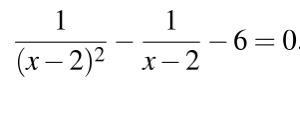
(1/(x-2)²)-(1/(x-2))-6=0 ОДЗ: x-2≠0 x≠2
1-(x-2)-6*(x-2)²=0
1-x+2-6*(x²-4x+4)=0
3-x-6x²+24x-24=0
-6x²+23x-21=0 |×(-1)
6x²-23x+21=0 D=25 √D=5
x₁=1,5 x₂=7/3.
Ответ дал:
0
Ответ:
объяснение: я не знаю у меня вышло так !!!
Приложения:

Вас заинтересует
2 года назад
2 года назад
3 года назад
3 года назад
8 лет назад
8 лет назад
9 лет назад