• Предмет: Алгебра
  • Автор: poergad
  • Вопрос задан 8 лет назад

Помогите пожалуйста с алгеброй(

Приложения:

Ответы

Ответ дал: bel72777
0

Ответ:

Объяснение:

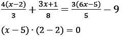
(4(x-2))/3 +(3x+1)/8=(3(6x-5))/5 -9

(32(x-2))/24 +(3(3x+1))/24=(18x-15)/5 -45/5

5(32x-64+9x+3)=24(18x-15-45)

5(41x-61)=24(18x-60)

205x-305=432x-1440

432x-205x=1440-305

227x=1135

x=1135/227=5

(x-5)(2-2)=0

(x-5)·0=0

0=0

Уравнение является тождеством. Следовательно, x является любым числом.

Вас заинтересует