Даю 35 баллов и +18 баллов за лучший!!!!! Прошу сделать полностью!!! Спасибо!!!
Задание 1. Решите уравнения:


(* это умножение)
Задание 2. Определите количество решений системы графическим методом:

Задание 3.
Есть два солевых раствора: один с концентрацией 8%, другой – с концентрацией 16%. Сколько миллилитров каждого раствора нужно взять, чтобы получить 400 мл раствора с концентрацией 11%?
Ответы
Ответ дал:
0
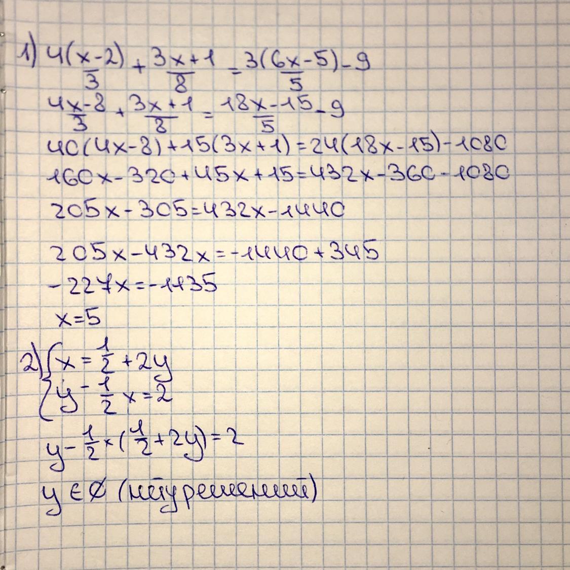
1)
Ответ: 5
Ответ : x принадлежит R
2) Ответ: нет решений, т.к. графики не пересекаются
3) Составим таблицу:
1 раствор 2 раствор смесь
концентрация 8 % 16% 11%
масса х мл у мл 400 мл
масса соли х*8/100 у*16/100 400*11/100
Тогда получим два уравнения
х+у=400
0,08х+0,16у=44
Решим полученную систему:
Вычтем из второго уравнения первое:
8x+16y-8x-8y=4400-3200
8y=1200
y=150 мл
Тогда х= 400-150=250 мл
Ответ: Первого раствора 250 мл, второго 150 мл
Ответ дал:
0
Ответ во вложении ниже:
К сожалению, не смогу помочь с третьим(
К сожалению, не смогу помочь с третьим(
Приложения:

Вас заинтересует
2 года назад
2 года назад
3 года назад
3 года назад
8 лет назад
8 лет назад
9 лет назад