решите плиз
эт дробь
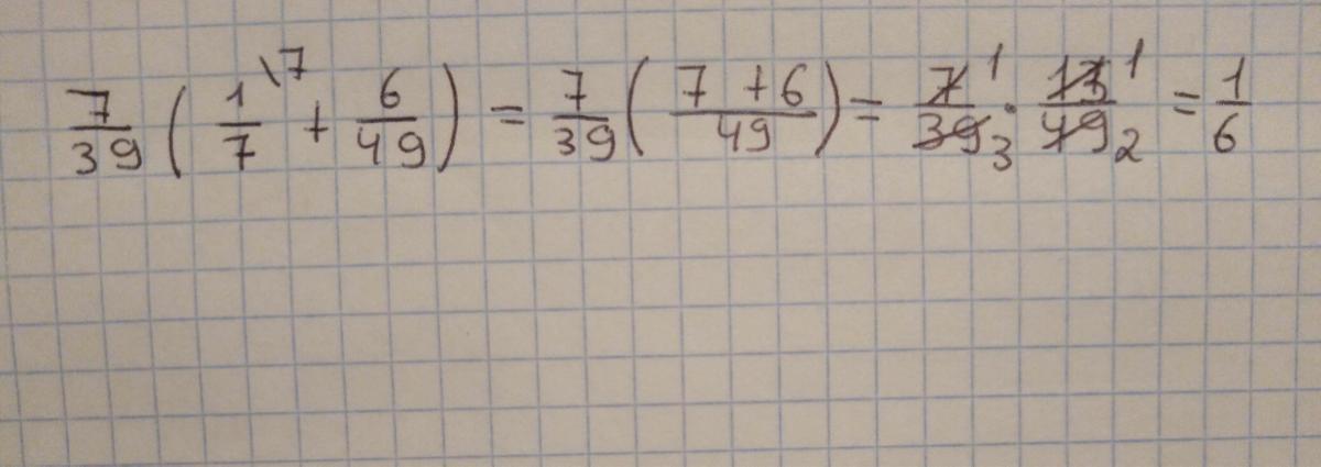
семь тридцать девятых умножить (одна седьмых + шесть сорок девятых)
решите плиз
Ответы
Ответ дал:
0
Подробное решение:::
Приложения:

Вас заинтересует
2 года назад
3 года назад
8 лет назад
8 лет назад
9 лет назад