Пожалуйста, очень срочно ОЧЕНЬ!
найдите значение выражения если р = 0,897
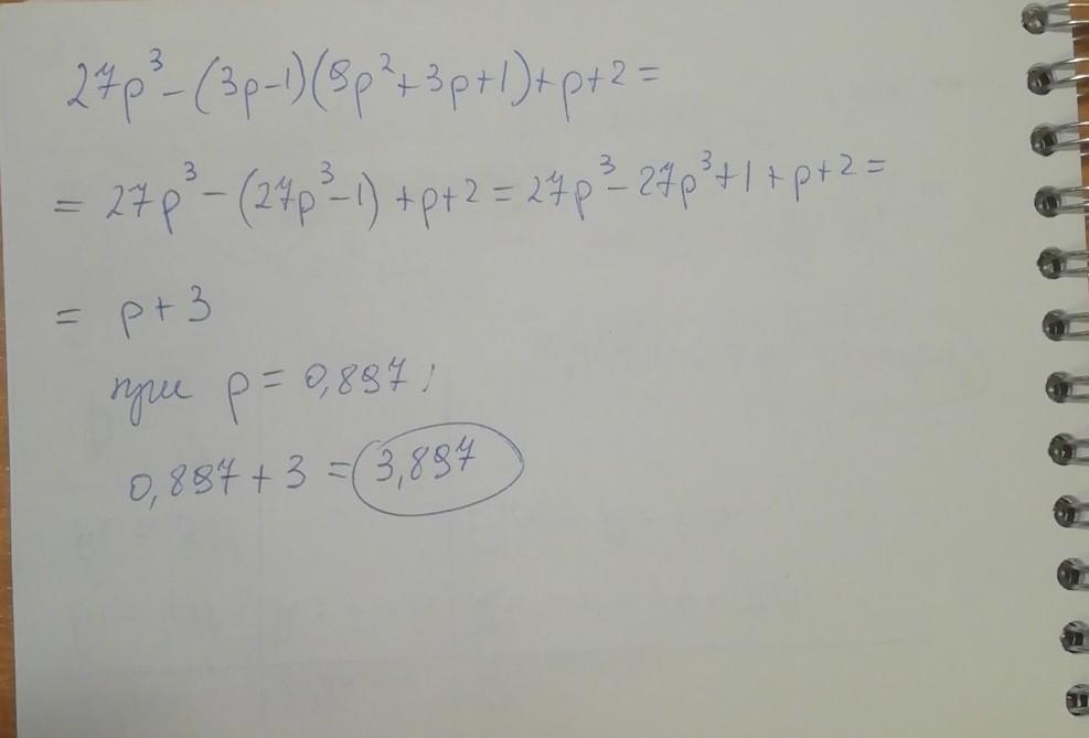
27р³-(3р-1)(9р²+3р+1)+р+2
Ответы
Ответ дал:
0
Ответ:
УДАЧИ!, ЕСЛИ ЧТО-ТО НЕ ПОНЯТНО, ПИШИ В КОММЕНТАРИИ! ИЛИ ЛС!
Приложения:

Ответ дал:
0
Используя формулу разности кубов:
Приложения:

Ответ дал:
0
ладно, извините, если вам удобнее с ошибками, то удачного вам дня и всего самого наилучшего!
Ответ дал:
0
Вы правы, там нет куба разности. Там есть разность кубов. Надеюсь, Вы знаете в чём различие.
Ответ дал:
0
Я Вам пытаюсь сказать,что там используется формула разности квадратов),а не формула "разности кубов"
Вас заинтересует
2 года назад
3 года назад
3 года назад
8 лет назад
8 лет назад
9 лет назад