Ответы
Ответ дал:
0
решение предложено во вложении
Приложения:

Ответ дал:
0
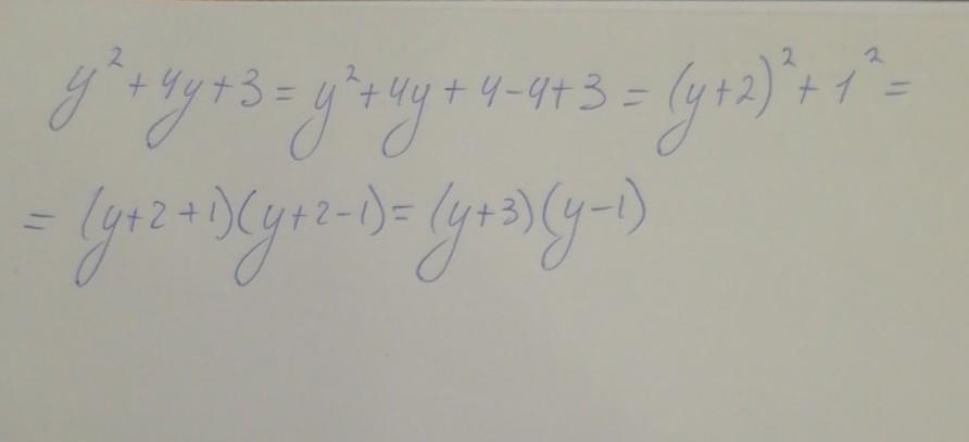
Я упростила выражение:
Приложения:

Вас заинтересует
2 года назад
3 года назад
8 лет назад
8 лет назад
9 лет назад
9 лет назад