• Предмет: Математика
  • Автор: aynoni
  • Вопрос задан 8 лет назад

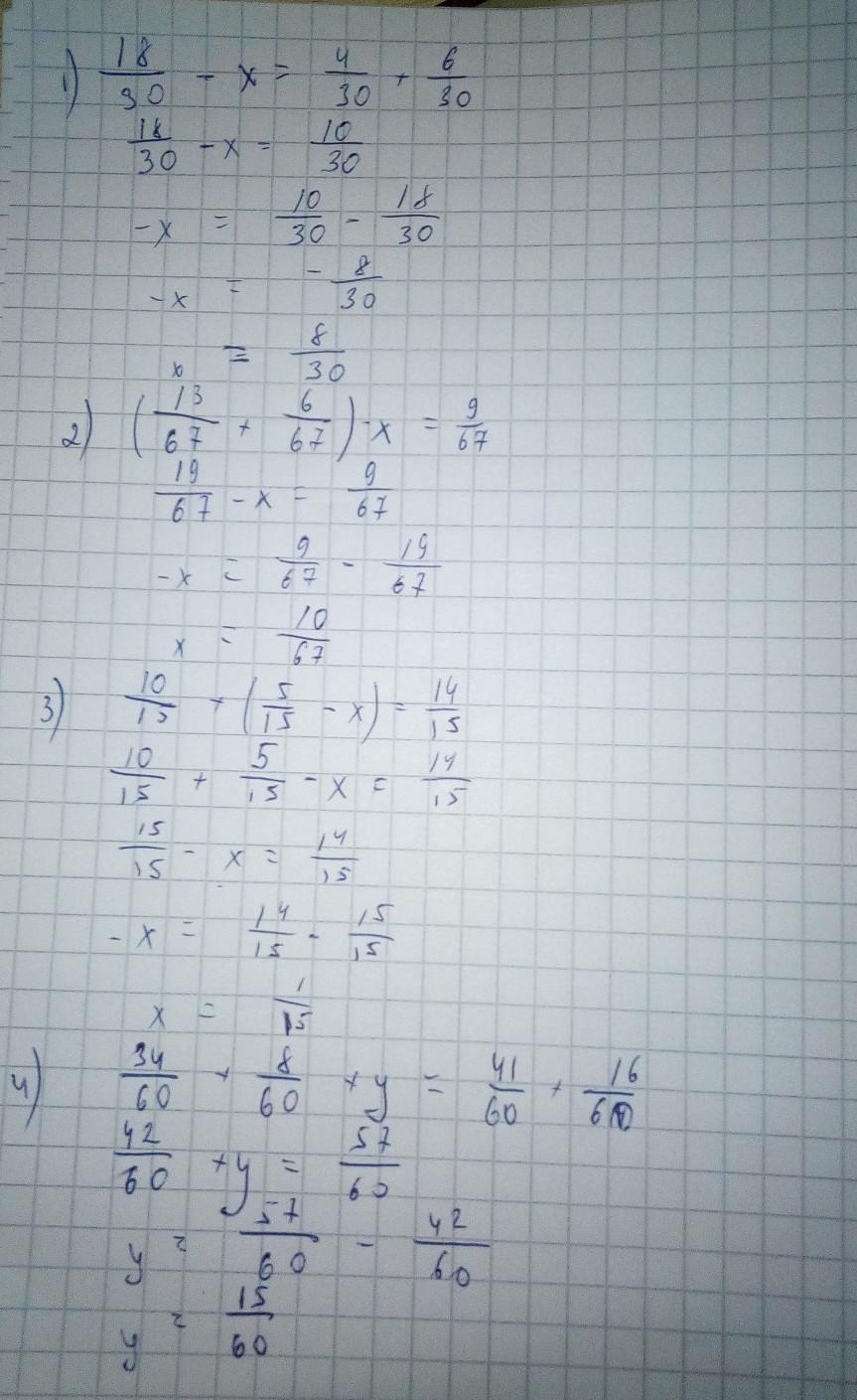
помогите решить уравнения.

Приложения:

Ответы

Ответ дал: laparoom
0

 frac{18}{30}  -  x =  frac{4}{30} +  frac{6}{30}  \  \  frac{4}{30}  +  frac{6}{30}  =  frac{10}{30} \  \ x =   frac{10}{30}  -  frac{4}{30}  =  frac{6}{30}  =  frac{1}{5}

Ответ дал: yana7771777yana
0

Ответ:

5.

 frac{64}{70}  - (x +  frac{26}{70} ) =  frac{5}{70}

 frac{64}{70}  - x -  frac{26}{70}  =  frac{5}{70}

 frac{38}{70 }  - x =  frac{5}{70}

 - x =  frac{5}{70}  -  frac{38}{70}

x =  frac{32}{70}

6.

x +  frac{27}{46}  =  frac{35}{46}  +  frac{2}{46}

x +  frac{27}{46 }  =  frac{37}{46}

x =  frac{37}{46}  -  frac{27}{46}

x =  frac{10}{46}

Приложения:
Вас заинтересует