• Предмет: Алгебра
  • Автор: anto80344
  • Вопрос задан 8 лет назад

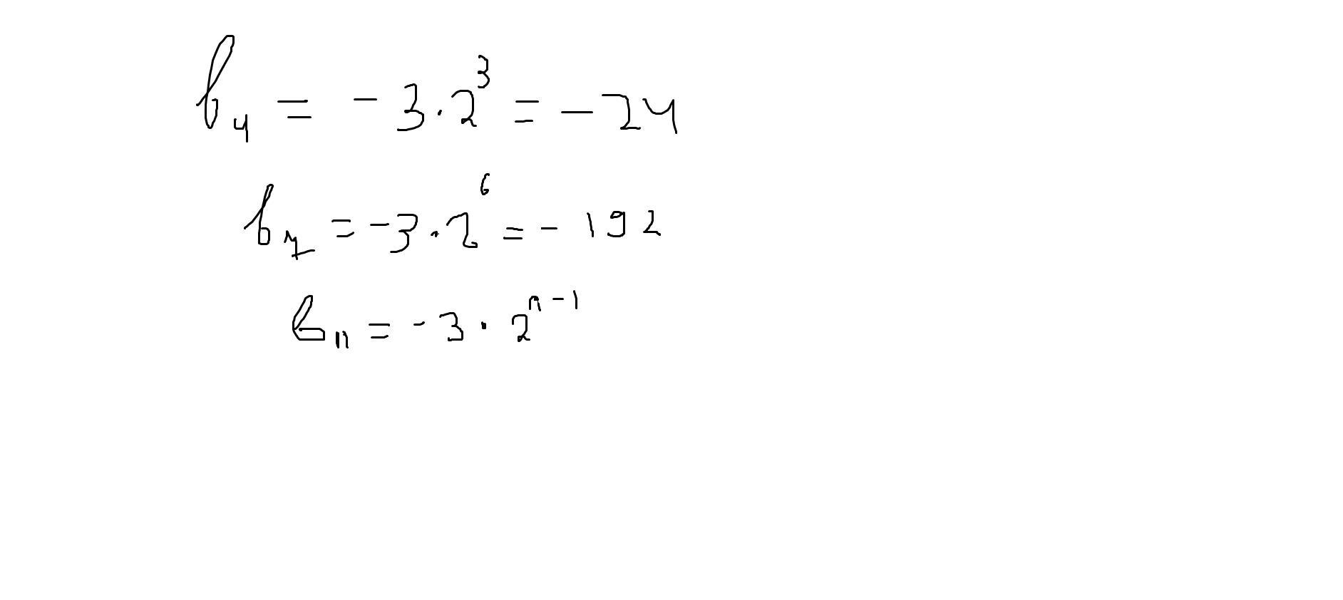
У геометричній прогресії b1=-3, q=2. Знайдіть b4, b7, bn.

Ответы

Ответ дал: maksimvalkovsky
0

Ответ:

фото

Объяснение:

Приложения:
Вас заинтересует