• Предмет: Алгебра
  • Автор: ais1403
  • Вопрос задан 8 лет назад

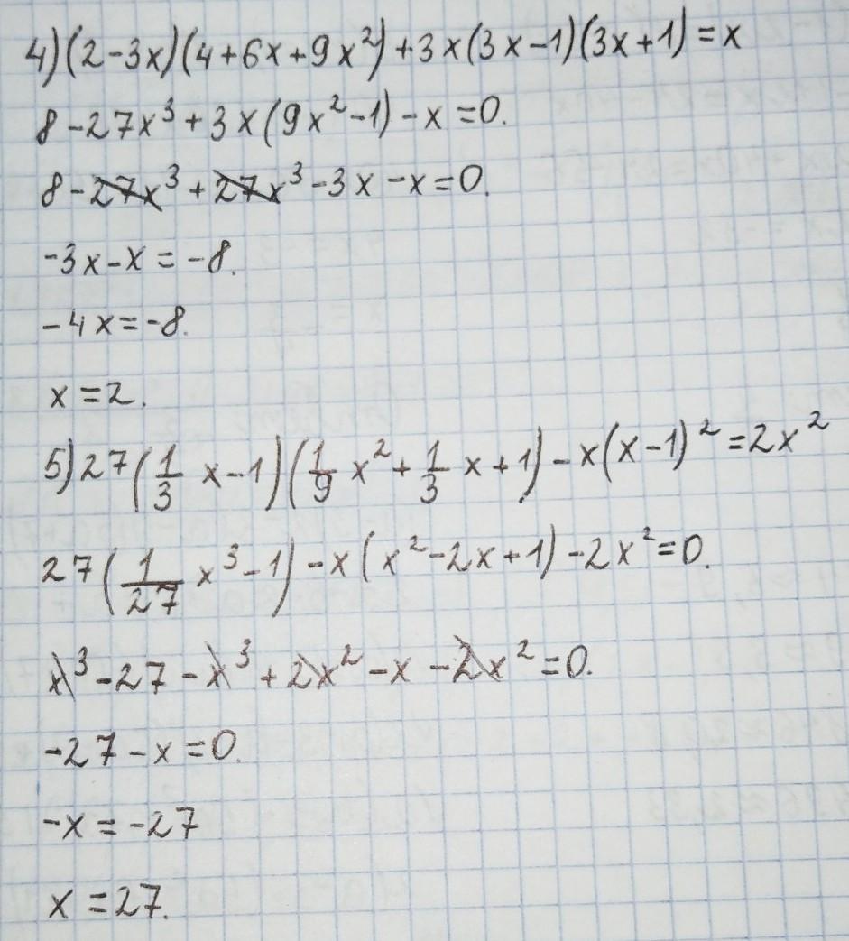
ПОМОГИТЕ ПОЖАЛУЙСТА СРОЧНО​

Приложения:

Ответы

Ответ дал: aisuluns
0

Ответ:

решено..............

Приложения:
Вас заинтересует