Ответы
Ответ дал:
0
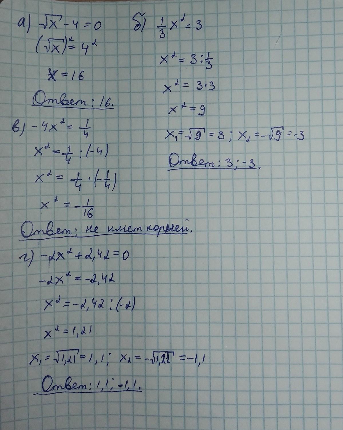
Ответ на фото.
Пиши, если что-то не понятно.
Приложения:

Ответ дал:
0
Ответ:a)
б)
в)ответ:Х∉R
г)
Объяснение:
Приложения:

Вас заинтересует
2 года назад
2 года назад
3 года назад
8 лет назад
8 лет назад
9 лет назад