• Предмет: Алгебра
  • Автор: daniildaniltarasov
  • Вопрос задан 8 лет назад

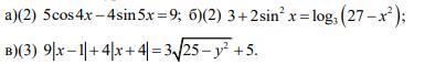
Решите уравнения: a,б,в

Приложения:

Ответы

Ответ дал: iosiffinikov
0

а) (2) Слева сумма слагаемых первое из которых меньше либо равно 5, а второе меньше либо равно 4. Значит их сумма меньше либо равна 9. При этом равенство не достигается, так как  если косинус равен 1, то синус равен 0.

Ответ : нет решений.

б) (2)  слева выражение больше либо равно 3, а справо меньше либо равно 3. Равенство  при х=0.

Ответ : х=0

в) (3)

Рассмотрим случай х меньше 1, но больше -4

Тогда выражение слева равно 25 , а справа меньше 20 - нет решений

Если х больше либо равен  1

Слева 13х+7. По тем же соображениям х=1  у=0

Если х меньше либо равен -4

Слева -13х-7 при данных х  выражение больше 45, т.е. решений нет

Ответ : х=1  у=0

Вас заинтересует