• Предмет: Математика
  • Автор: maria0345
  • Вопрос задан 8 лет назад

Помогите решить уравнение, пожалуйста!

Приложения:

Ответы

Ответ дал: sangers1959
0

Ответ: x₁=1           x₂=-1       x₃=2√6     x₄=-2√6.

Пошаговое объяснение:

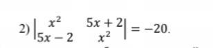
x²*x²-(5x-2)(5x+2)=-20

x⁴-((5x)²-2²)=-20

x⁴-(25x²-4)=-20

x⁴-25x²+4=-20

x⁴-25x²+24=0

Пусть х²=t≥0      ⇒

t²-25t+24=0   D=529     √D=23

t₁=1       ⇒   x²=1      x₁=1           x₂=-1

t₂=24   ⇒   x²=24   x₃=2√6     x₄=-2√6.

Ответ дал: sangers1959
0
Удачи.
Вас заинтересует