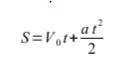
Написать программу, которая выводит на экран пройденный путь,
если известна скорость, время и ускорение:
Приложения:

Ответы
Ответ дал:
0
Ответ:
Program Way;
var s,a,t,v:real;
begin
read (a,t,v);
s:=v*t+a*t*t/2;
writeln ('Пройденный путь равен ', s);
end.
Объяснение:
язык pascal abc
Вас заинтересует
2 года назад
3 года назад
8 лет назад
8 лет назад
9 лет назад