• Предмет: Математика
  • Автор: aidakasenova01
  • Вопрос задан 8 лет назад

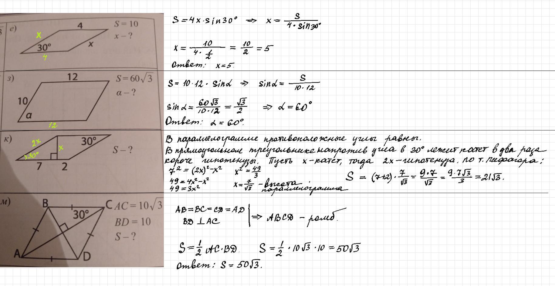
Найдите площадь трапеции её неизвестные элементы​

Приложения:

Ответы

Ответ дал: UluanaV
0

Ответ:

е) 5

з) 60°

к) 21√3

м) 50√3

Пошаговое объяснение:

Решение на фото.

Приложения:
Вас заинтересует